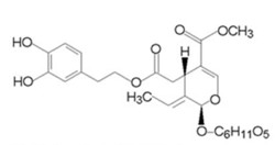
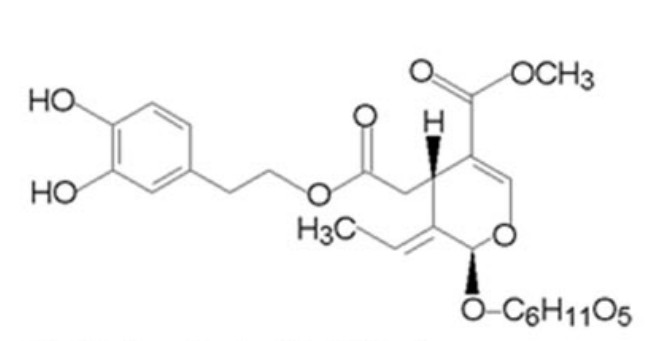
Modelo de oleuropeina
y amargor.

INTRODUCCIÓN:
____La oleuropeina es la sustancia responsable
del amargor de las aceitunas, aunque también lo es de algunas propiedades
interesantes, como la protección natural frente a la oxidación.
Aunque es probable que en futuros proyectos, o en actualizaciones de proyectos
pasados nos ocupemos de su estudio en profundidad, este curso sólo insistiremos
en su acción en el proceso de aderezo y utilizaremos para las explicaciones
un modelo tridimentsional de la misma.
DESARROLLO DE LA ACTIVIDAD:
____Iniciaremos la actividad con la obtención
de esquemas y modelos que posteriormente utilizaremos para la fabricación
de nuestra maqueta. Si el tiempo lo permite realizaremos dos mdelos con diferente
grado de complejidad. Comenzaremos por el modelo más sencillo.
| Volver a la Web Quest | Volver a la presentación |
| Volver al proyecto | Volver a las actividades propuestas |